The smallest unit of organization that FreeBSD uses to find files is the filename. Filenames are case-sensitive, which means that readme.txt and README.TXT are two separate files. FreeBSD does not use the extension (.txt) of a file to determine whether the file is program, or a document, or some other form of data.
Files are stored in directories. A directory may contain no files, or it may contain many hundreds of files. A directory can also contain other directories, allowing you to build up a hierarchy of directories within one another. This makes it much easier to organize your data.
Files and directories are referenced by giving the file or directory name, followed by a forward slash, /, followed by any other directory names that are necessary. If you have directory foo, which contains directory bar, which contains the file readme.txt, then the full name, or path to the file is foo/bar/readme.txt.
Directories and files are stored in a filesystem. Each filesystem contains exactly one directory at the very top level, called the root directory for that filesystem. This root directory can then contain other directories.
So far this is probably similar to any other operating system you may have used. There are a few differences; for example, DOS uses \ to separate file and directory names, while Mac OS® uses :.
FreeBSD does not use drive letters, or other drive names in the path. You would not write c:/foo/bar/readme.txt on FreeBSD.
Instead, one filesystem is designated the root filesystem. The root filesystem's root directory is referred to as /. Every other filesystem is then mounted under the root filesystem. No matter how many disks you have on your FreeBSD system, every directory appears to be part of the same disk.
Suppose you have three filesystems, called A, B, and C. Each filesystem has one root directory, which contains two other directories, called A1, A2 (and likewise B1, B2 and C1, C2).
Call A the root filesystem. If you used the ls command to view the contents of this directory you would see two subdirectories, A1 and A2. The directory tree looks like this:

A filesystem must be mounted on to a directory in another filesystem. So now suppose that you mount filesystem B on to the directory A1. The root directory of B replaces A1, and the directories in B appear accordingly:

Any files that are in the B1 or B2 directories can be reached with the path /A1/B1 or /A1/B2 as necessary. Any files that were in /A1 have been temporarily hidden. They will reappear if B is unmounted from A.
If B had been mounted on A2 then the diagram would look like this:

and the paths would be /A2/B1 and /A2/B2 respectively.
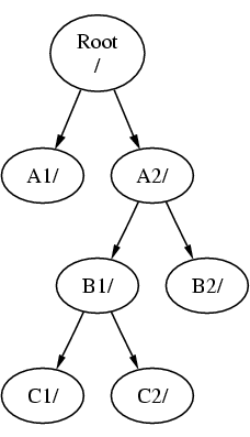
Filesystems can be mounted on top of one another. Continuing the last example, the C filesystem could be mounted on top of the B1 directory in the B filesystem, leading to this arrangement:

Or C could be mounted directly on to the A filesystem, under the A1 directory:

If you are familiar with DOS, this is similar, although not identical, to the join command.
This is not normally something you need to concern yourself with. Typically you create filesystems when installing FreeBSD and decide where to mount them, and then never change them unless you add a new disk.
It is entirely possible to have one large root filesystem, and not need to create any others. There are some drawbacks to this approach, and one advantage.
Benefits of Multiple Filesystems
Different filesystems can have different mount options. For example, with careful planning, the root filesystem can be mounted read-only, making it impossible for you to inadvertently delete or edit a critical file. Separating user-writable filesystems, such as /home, from other filesystems also allows them to be mounted nosuid; this option prevents the suid/guid bits on executables stored on the filesystem from taking effect, possibly improving security.
FreeBSD automatically optimizes the layout of files on a filesystem, depending on how the filesystem is being used. So a filesystem that contains many small files that are written frequently will have a different optimization to one that contains fewer, larger files. By having one big filesystem this optimization breaks down.
FreeBSD's filesystems are very robust should you lose power. However, a power loss at a critical point could still damage the structure of the filesystem. By splitting your data over multiple filesystems it is more likely that the system will still come up, making it easier for you to restore from backup as necessary.
Benefit of a Single Filesystem
Filesystems are a fixed size. If you create a filesystem when you install FreeBSD and give it a specific size, you may later discover that you need to make the partition bigger. This is not easily accomplished without backing up, recreating the filesystem with the new size, and then restoring the backed up data.
Important: FreeBSD 4.4 and later versions feature the growfs(8) command, which makes it possible to increase the size of filesystem on the fly, removing this limitation.
Filesystems are contained in partitions. This does not have the same meaning as the earlier usage of the term partition in this chapter, because of FreeBSD's UNIX® heritage. Each partition is identified by a letter from a through to h. Each partition can contain only one filesystem, which means that filesystems are often described by either their typical mount point in the filesystem hierarchy, or the letter of the partition they are contained in.
FreeBSD also uses disk space for swap space. Swap space provides FreeBSD with virtual memory. This allows your computer to behave as though it has much more memory than it actually does. When FreeBSD runs out of memory it moves some of the data that is not currently being used to the swap space, and moves it back in (moving something else out) when it needs it.
Some partitions have certain conventions associated with them.
| Partition | Convention |
|---|---|
| a | Normally contains the root filesystem |
| b | Normally contains swap space |
| c | Normally the same size as the enclosing slice. This allows utilities that need to work on the entire slice (for example, a bad block scanner) to work on the c partition. You would not normally create a filesystem on this partition. |
| d | Partition d used to have a special meaning associated with it, although that is now gone. To this day, some tools may operate oddly if told to work on partition d, so sysinstall will not normally create partition d. |
Each partition-that-contains-a-filesystem is stored in what FreeBSD calls a slice. Slice is FreeBSD's term for what were earlier called partitions, and again, this is because of FreeBSD's UNIX background. Slices are numbered, starting at 1, through to 4.
Slice numbers follow the device name, prefixed with an s, starting at 1. So ``da0s1'' is the first slice on the first SCSI drive. There can only be four physical slices on a disk, but you can have logical slices inside physical slices of the appropriate type. These extended slices are numbered starting at 5, so ``ad0s5'' is the first extended slice on the first IDE disk. These devices are used by file systems that expect to occupy a slice.
Slices, ``dangerously dedicated'' physical drives, and other drives contain partitions, which are represented as letters from a to h. This letter is appended to the device name, so ``da0a'' is the a partition on the first da drive, which is ``dangerously dedicated''. ``ad1s3e'' is the fifth partition in the third slice of the second IDE disk drive.
Finally, each disk on the system is identified. A disk name starts with a code that indicates the type of disk, and then a number, indicating which disk it is. Unlike slices, disk numbering starts at 0. Common codes that you will see are listed in Table 3-1.
When referring to a partition FreeBSD requires that you also name the slice and disk that contains the partition, and when referring to a slice you should also refer to the disk name. Do this by listing the disk name, s, the slice number, and then the partition letter. Examples are shown in Example 3-1.
Example 3-2 shows a conceptual model of the disk layout that should help make things clearer.
In order to install FreeBSD you must first configure the disk slices, then create partitions within the slice you will use for FreeBSD, and then create a filesystem (or swap space) in each partition, and decide where that filesystem will be mounted.
Table 3-1. Disk Device Codes
| Code | Meaning |
|---|---|
| ad | ATAPI (IDE) disk |
| da | SCSI direct access disk |
| acd | ATAPI (IDE) CDROM |
| cd | SCSI CDROM |
| fd | Floppy disk |
Example 3-2. Conceptual Model of a Disk
This diagram shows FreeBSD's view of the first IDE disk attached to the system. Assume that the disk is 4 GB in size, and contains two 2 GB slices (DOS partitions). The first slice contains a DOS disk, C:, and the second slice contains a FreeBSD installation. This example FreeBSD installation has three partitions, and a swap partition.
The three partitions will each hold a filesystem. Partition a will be used for the root filesystem, e for the /var directory hierarchy, and f for the /usr directory hierarchy.

This, and other documents, can be downloaded from ftp://ftp.FreeBSD.org/pub/FreeBSD/doc/.
For questions about FreeBSD, read the documentation before contacting <questions@FreeBSD.org>.
For questions about this documentation, e-mail <doc@FreeBSD.org>.